This website requires JavaScript.
Explore
Help
Sign In
jakub
/
2p_pracownia_programowania_php
Watch
1
Star
0
Fork
0
You've already forked 2p_pracownia_programowania_php
Code
Issues
Packages
Projects
Releases
Wiki
Activity
Files
db1d8ff09f42581662107b1ba462e4eeb20ba3b6
2p_pracownia_programowania_php
/
Zadania
/
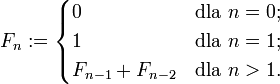
Z75 - liczby fibonacciego iter
/
075.png
3p01
edc3abedfa
29.10
2025-10-29 09:29:54 +01:00
3.1 KiB
280x84px
Raw
History