This website requires JavaScript.
Explore
Help
Sign In
jakub
/
2p_pracownia_programowania_php
Watch
1
Star
0
Fork
0
You've already forked 2p_pracownia_programowania_php
Code
Issues
Packages
Projects
Releases
Wiki
Activity
Files
666e5d623c61b176ad6fcc0cbbd6bd87788650ac
2p_pracownia_programowania_php
/
Zadania
/
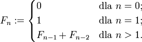
Z75b - liczby fibonacciego rek
/
075.png
jakub
d3e59d6355
16.11
2025-11-16 19:21:21 +01:00
3.1 KiB
280x84px
Raw
History